Order Management Experience (OMX)
Intended Audience:
Business User
Authors:
Matthew Hesford, Anita Gu, Cille Schliebitz
Changed on:
30 Jan 2025
Overview
In this lesson, we'll discuss Fluent OMX, which stands for Order Management Experience. We'll be introducing concepts such as Fluent workflow and UI configuration and customization.
Key points
- Workflow - defines the logical flow or lifecycle of a top-level entity within a domain
- The UX, Workflows, and Integration can be enhanced to suit business needs via configuration or extension
- Fluent provides tools that empower both technical and non-technical users
Order Management Experience (OMX)

Consists of the UX Framework, Workflow Framework, and Connect Frameworks. All of these are capable of configuration and extension — we'll discuss these two concepts later in this lesson. But before we dive in, let's first define what a Workflow is.
Workflow Concepts
A Workflow defines the logical flow or lifecycle of a top-level entity within a domain. For example, the Order Management domain has a top-level entity of Order. An Order also has sub-entities (e.g. OrderItem) that have specific relevance to the Order at various stages within its lifecycle, which typically involves a number of stages in which the entity moves.

Workflows consist of Rules which represent a single building block for logic and have a single purpose. Rules may produce a single Action or send an Event and can be easily configured and reused.
Examples:
- Send an email
- Notify a Warehouse Management System (WMS) of a fulfilment request.
- Updating data on an Entity.

To better understand this concept, think of Lego bricks that can be connected in various ways to form Rulesets. You can create different outcomes by arranging the Lego bricks in different configurations. A single Lego block is not useful on its own, but when combined with others, it can execute a specific piece of logic, which can be used to perform a particular task within a business process.
Workflows are accessed through the Workflow Builder through a Fluent Web App. Here, users can view, modify and create workflows and user actions.
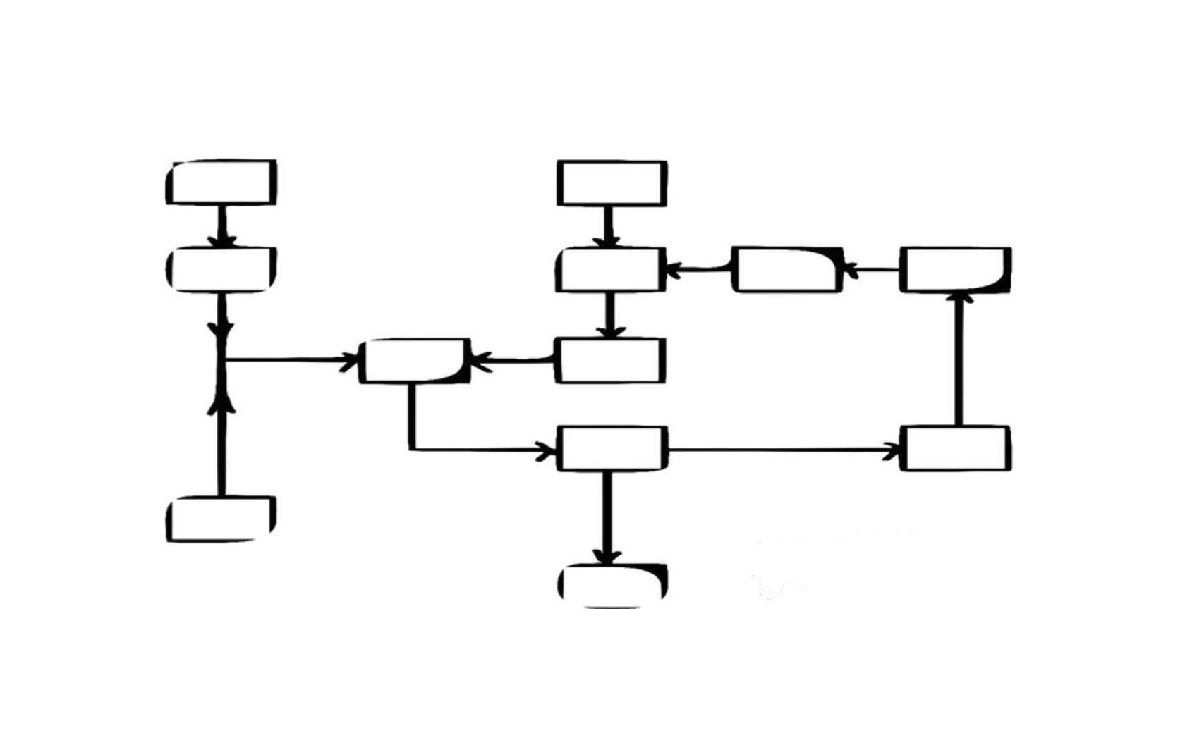
An example of a Home Delivery Workflow is presented below. Note that each entity type has its own workflow. Each workflow has phases the entity will flow through, from beginning to completion. For instance, a default order workflow usually includes four phases: Booking, Fulfillment, Delivery, and Done/Complete.

Each phase can comprise of one or more statuses. For instance:
- Booked, Awaiting Payment, Check Fraud
- Picking, Packing, Fulfilled
- Awaiting Delivery, Delivered
- Complete, Cancel.

It's possible to configure and extend Fluent Order Management workflows, user interfaces and system integrations.
Configure Without Code
With Fluent OMX, non-technical users can easily configure their own business workflows, UIs and ecosystem integrations code-free using the low-code tools provided.
Main components:
- UI Builder - for configuring UI components for Web Apps / UIs.
- Workflow Builder - for configuring business logic into workflows.
- Connector Builder - for configuring system Integrations.
Extend with Software Development Kits (SDKs)
In situations where the standard configuration options are not enough, Developers can build their own custom solutions using the Software Development Kits (SDKs) provided complete with tools and design patterns to build specific integrations and processes.
Main components:
- Component SDK - for building new UI Components for Web Apps / UIs.
- Rules SDK - for building new Workflow Rules.
- Connector SDK - for building custom Integrations.
The Workflow, UX and Connect Frameworks support the configuration and extension of Workflows, UIs and system integrations.
Workflow Framework
The Workflow Builder enables users to easily view, modify, and create workflows and user actions. With the help of Workflow Templates, users can quickly implement pre-configured workflows, while the Rule Library provides reusable workflow rules that can be used to set up business logic and best practices. This ensures that optimal outcomes are achieved when creating workflows. Additionally, workflows can be extended using the Rules SDK, which enables customization, extension, and integration of additional capabilities.
For a deeper understanding of the Workflow Framework and Rules SDK refer to the courses specific to your pathway:
- Workflow Framework course: Learn about workflows and workflow design principles and create business logic without code using the Workflow Builder.
- Rules SDK course: Learn how to build custom Rules for the OMX Workflow Framework using Java, including testing and deployment.
UX Framework
The UI Builder, UI templates, and Component library make it easy for users to set up user interfaces quickly using reference UI configuration. Users also have access to a Design System that provides research-based user experience (UX) advice and guidelines to deliver the best possible experiences tailored to the Omnichannel Retail space.
Fluent Web apps are configured by the Manifest document. This is a human-readable JSON document which defines:
- Navigation
- Screen layouts
- Data sources
- User actions
Extension through Component SDK allows Developers to build new custom components for extending the standard component library.
- New cards to display information from Fluent APIs or external sources
- New form field types that work with rules to extend user action capability
- Create entirely new customised pages

An example of what's possible through configuration vs. extension:

For a deeper understanding of the UX Framework and Component SDKs, refer to the courses specific to your pathway:
- UX Framework Knowledge Track: Learn how to configure the Fluent Web app using configuration-ready components provided by Component Library.
- Component SDK Knowledge Track: Learn how to build various custom components to be used in the Fluent Web Apps.
Connect Framework
The Connector Builder, along with the Connector Library and Integrations Guideline allows quick and easy set-up of ecosystem integrations.
Connect SDK is a new launchpad that enables communication between Fluent Order Management and external systems. Before Connect SDK, partners and clients were left to start from scratch building ad hoc connectors. Connectors lacked consistency, were difficult to troubleshoot and wasted valuable implementation time.
Summing it all up
- Pre-defined 'ready-to-use' templates and components help to accelerate project implementation.
- Low code tools available through the UI Builder, Workflow Builder and Connector Builder make it possible for non-technical users to build their own business workflows.
- When standard configuration options are not enough, developers can build custom components through software development kits (SDKs) that come complete with the tools and design patterns to build integrations and processes for bespoke and future needs.
- High-Performance Scalable Processing
The OMX Workflow Framework is a highly performant and scalable execution system that can process thousands of events simultaneously. - Flexible Customisation
The OMX Workflow Framework does not have any business logic. It allows customised solutions to be built by ensuring business logic is not baked into the APIs or Framework. - The UX Framework provides the best user experience for retail staff that engage with Fluent Order Management.